Ⅰ
問題
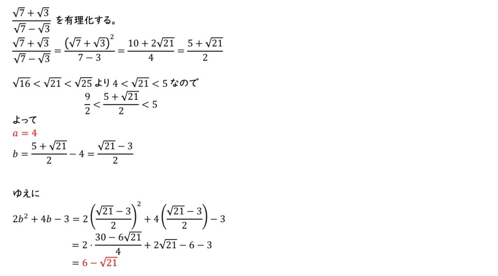
\(\dfrac{\sqrt{7}+\sqrt{3}}{\sqrt{7}-\sqrt{3}}\) の整数部分を \(a\) とおき,小数部分を \(b\) とおく。
このとき,\(a=\boxed{ ア }\) であり,\(2b^2+4b-3=\boxed{ イ }-\sqrt{\boxed{\;\;ウエ\;\;}}\) である。
方針
ネタバレ注意(クリックで表示)
\(\dfrac{\sqrt{7}+\sqrt{3}}{\sqrt{7}-\sqrt{3}}\)を有理化して,整数部分と小数部分を求める。
あとは求めた値を代入して計算する。
解答
ネタバレ注意(クリックで表示)
\(\boxed{ ア }=4\)
\(\boxed{ イ }=6\)
\(\boxed{ ウ }=2\)
\(\boxed{ エ }=1\)
解説
ネタバレ注意(クリックで表示)

次の大問はこちら
👉️【文系数学T方式】2025年度入試 法政大学 大問2 解答解説
GMARCH解答解説まとめはこちら
👉️GMARCH特集|首都圏私大の王道 併願戦略の軸になるGMARCH攻略

