Ⅶ
問題
すべての実数\(x\)に対して定義された定義
\(f(x)=\dfrac{16-x^2}{\sqrt{x^4-2x^2+16}}\)
について、以下の問いに答えよ。
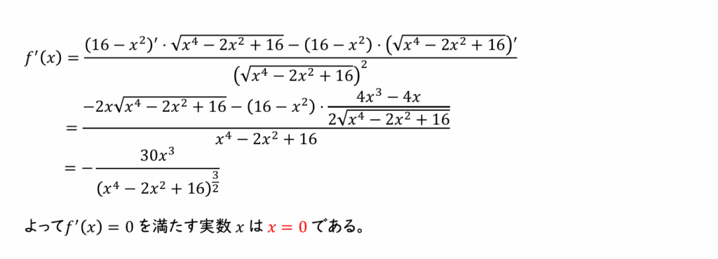
(1)\(f'(x)=0\)を満たす実数\(x\)をすべて求めよ。
(2)\(f^{\prime\prime}(x)=0\)を満たす実数\(x\)をすべて求めよ。
(3)\(y=f(x)\)の凹凸、変曲点、ならびに漸近線を調べて、そのグラフの概形を描け。
(4)点\((0, t)\)から曲線\(y=f(x)\)に接線が引けるような実数\(t\)の範囲を求めよ。
解答
(1)

(2)

(3)


(4)



