問題
次の問に答えよ。
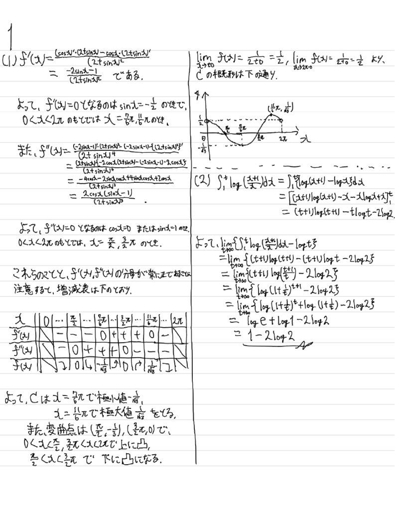
(1)関数\(f(x)=\frac{\cos{x}}{2+\sin{x}}\) \((0<x<2\pi)\)に対して、\(xy\)平面上の曲線\(y=f(x)\)を\(C\)とする。\(f(x)\)の増減、極値、\(C\)の凹凸、変曲点を調べ、\(C\)の概形を描け。
(2)次の極限値を求めよ。\[\lim_{t \to \infty} \{\int_{1}^{t} \log{(\frac{x+1}{x})}\, dx-\log{t} \}\]
方針
(1)一階微分、二階微分をそれぞれ求めて、増減と凹凸を調べる。
概形を描く際には\(x\to +0,x\to 2\pi-0\)での極限を調べることにも注意。
(2)定積分が計算できるので、まずは定積分を求める。
その結果極限の中身が\((t+1)\log{(\frac{t+1}{t})}-2\log{2}\)となるが、これを変形して\(\log{(1+\frac{1}{t})}^(t+1)-2\log{2}\)とすることでネイピア数\(e\)の定義式が使えることに気づく!
解答


