問題
\(1\)から\(n\)までの異なる自然数が\(1\)つずつ書かれた\(n\)枚のカードが一列に並んでいる。このとき, どのカードも現在とは異なる位置に移動するように並べ替えてでいる順列の総数を\(a_n\)で表し, 並べ方の総数\(n!\)に占める\(a_n\)の割合を\(p_n\)で表す。例えば, \(a_1=0\), \(p_1=0\), \(a_2=1\), \(p_2=\frac{1}{2}\), \(a_3=2\), \(p_3=\frac{1}{3}\)である。 次の問に答えよ。
(1) \(a_4\)の値を求めよ。
(2)\(n\geq 3\)のとき, \(a_n\)を\(a_{n-1}\)と\(a_{n-2}\)を用いて表せ。
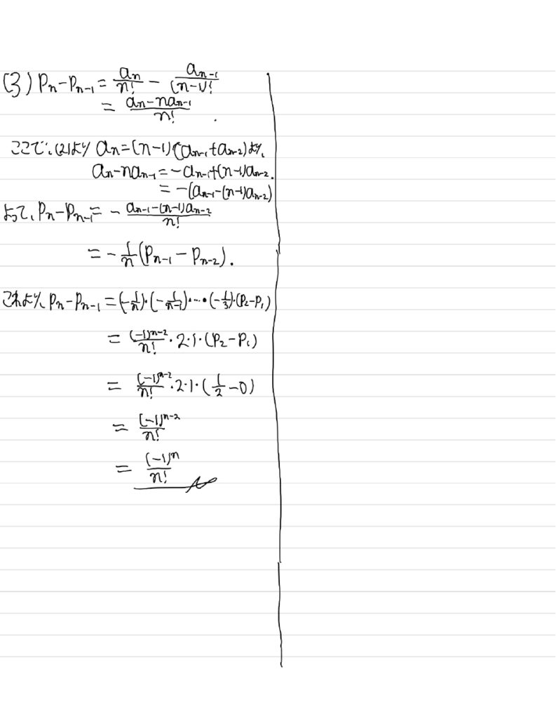
(3)\(n\geq 2\)のとき, \(p_n-p_{n-1}\)を\(n\)を用いて表せ。
方針
これは「完全順列」というものが題材となっている問題である。
(1)\(n=4\)の場合について調べるくらいであれば、地道に数え上げることができる。過不足なく数え上げるよう注意すること。
(2)これは誘導がついていないとかなり難しい。
最後の数(\(=n\))がどの位置に移動するかによって場合分けをして考える。
(3) (2)で出てきた解答を踏まえて、計算を進めてみる。
解答


補足
(2)の(ii)の考え方が特に初見だと難しかったのではないだろうか。
しっかりと復習して次回会ったときには解けるようにしよう。

